PMP学习之路2
第6章 项目进度管理¶
6.1 项目进度管理¶
定义:为规划、编制、管理、执行和控制项目进度而制定政策、程序和文档的过程。
作用:为如何在整个项目期间管理项目进度提供指南和方向。本过程 仅开展一次 或 仅在项目的预定义点开展 。
为管理项目按时完成所需的各个过程:
项目进度计划 的产生:
- 选择 计划方法:
- CPM(关键路径方法)
- 敏捷方法
- 将项目特定数据输入到 进度计划编制工具:
- 活动
- 计划日期
- 持续时间
- 资源
- 依赖关系
- 制约因素
- ...
- 产生 进度模型
项目进度管理的发展趋势和新兴实践
基于 适应型 生命周期的 滚动式规划,比如“敏捷的产品开发方法”。
基于 制约理论 和来自 精益生产的拉动式 进度计划概念,比如“看板体系”。
规划进度管理ITTO:
- 输出的“进度管理计划”有以下内容:
- 项目进度模型制定:规定进度规划方法和工具
- 进度计划的发布和迭代长度
- 准确度:规定活动持续时间估算的可接受区间,以及允许的应急储备数量
- 计量单位:规定资源计量单位
- 组织程序链接:链接WBS
- 项目进度模型维护
- 控制临界值
- 绩效测量规则:规定用于测量绩效的规则
- 报告格式
6.2 定义活动¶
定义:识别和记录为完成项目可交付成果而须采取的 具体行动 的过程
作用:将 工作包 分解为 进度活动,作为对项目工作进行进度估算、规划、执行、监督和控制的基础。本过程需要在整个项目期间开展。
定义活动ITTO:
-
工具“滚动式规划”:
- 随着时间推移,逐步由粗至细
-
输出“活动清单”、“活动属性”、“里程碑清单”:
-
输出“变更请求”:
- 一旦定义项目基准后,在将可交付成果渐进明细为活动的过程中,可能会发现原本 不属于项目基准 的工作
6.3 排列活动顺序¶
定义:识别和记录项目活动之间的关系和过程
作用:是定义工作之间的逻辑顺序,以便在既定的所有项目制约因素下 获得最高的效率。本过程需要在整个项目期间开展。
排序活动顺序ITTO:
-
工具“紧前关系绘图法(PDM)”:
- FS(完成到开始):紧前活动完成后,紧后活动才能开始
- 这个是最常用的
- FF(完成到完成):紧前活动完成,紧后活动才能完成
- SS(开始到开始):紧前活动开始,紧后活动才能开始
- SF(开始到完成):紧前活动开始,紧后互动才能完成
- 很少用
- FS(完成到开始):紧前活动完成后,紧后活动才能开始
-
工具“确定和整合依赖关系”:
- 强制性依赖:合规性要求
- 选择性依赖:首选逻辑关系、优先逻辑或软逻辑关系
- 外部依赖:项目活动与非项目活动之间的依赖关系,往往不在项目团队的控制范围之内。
- 内部依赖:项目活动之间的紧前关系,通常在项目团队的控制之中。
-
工具“提前量和滞后量”
- 提前量:相对于紧前,紧后可以提前的时间量(表现在FS)。
- 滞后量:相对于紧前,紧后需要推迟的时间量(通常表现在SS)。
-
工具“项目进度网络图”
- TODO: 这里的
FS+15是提前还是滞后?
- TODO: 这里的
6.4 估算活动持续时间¶
定义:根据资源估算的结果,估算完成单向活动所需工作时段的过程。
作用:确定完成每个活动所需花费的时间量,本过程在整个项目期间展开。
估算活动持续时间ITTO:
-
估算持续时间需要考虑的其他因素:
- 收益递减规律:在保持其他因素不变的情况下,增加一个用于确定单位产出所需投入的因素(如资源)会最终达到一个临界点,在该点之后的产出或输出会随着增加这个因素而递减。
- 资源数量:增加资源数量使其达到初始数量的两倍不一定能缩短一半时间
- 因为这样做可能会因风险而造成持续时间增加;
- 在某些情况下,如果增加太多活动资源,可能会因知识传递、学习曲线、额外合作和其他相关因素而造成持续时间增加。
- 技术进步:在确定持续时间估算时,这个因素也可能发挥重要作用。
- 例如,通过采购最新技术,制造工厂可以提高产量,而这可能会影响持续时间和资源需求。
- 员工激励:项目经理还需要了解以下两种情况
- 学生综合征(即拖延症):人们只有在最后一刻,即快到达期限时才会全力以赴;
- 帕金森定律:只要还有时间工作就会不断扩展,直到用完所有时间。
-
工具“类比估算”:基于历史数据粗略的估计当前活动的工作量
-
工作“参数估算”:
\[ 估算值 = 当前项目数据 \times 历史单位数据 \] -
工具“三点估算”:
-
时间值:
- \({T_o}\):最乐观时间(最短)
- \({T_p}\):最悲观时间(最长)
- \({T_m}\):最可能时间(中间时间)
-
计算方法:
\[ E = (O + 4M + P) / 6 \]\[ E = (O + M + P) / 3 \]练习题
平时回家,如果不堵车,最快30分钟;如果堵车,最慢2小时。大多数情况是1小时,请估算到家所需时间:
默认使用贝塔分布:
$$ t = (30 + 60 \times 4 + 120) / 6 = 65 $$正态分布
了解即可,考证正常不考
- \(1\sigma = 0.6826\)
- \(2\sigma = 0.9544\)
- \(3\sigma = 0.9973\)
管理学要求:“六西格玛(6\(\sigma\))”原则
-
-
工具“至下而上估算”:
- 从下到上逐层汇总WBS组成部分的估算而得到的项目估算。
-
工具“数据分析——储备分析”
- 应急储备:
- 有时又称“进度储备”,用于应对进度方面的不确定性;
- 属于“进度基准”的一部分;
- 应该在“项目进度文件”中列出;
- 随着信息越来越明确,可以动用、减少或取消应急储备。
- 管理储备
- 特别留出用于管理控制的时间预算;
- 不属于“进度基准”,但属于项目总持续时间的一部分;
- 依据合同条款,使用管理储备可能需要变更进度基准。
- TODO: 为什么会需要变更呢?
- 应急储备:
-
输出“持续时间估算&估算依据”
- 持续时间估算:对完成某项活动、阶段或项目所需的 工作时段数 的定量评估,其中 并不包括任何滞后量,但可指出一定的 变动区间:
- 2周 \(\pm\) 2天,表明活动至少需要8天,最多不超过12天。(假定每周工作5天)
- 超过3周的概率为15%,表明该活动将在3周内(含3周)完工的概率为85%
- 持续时间估算因领域而异,但应当 完整说明 如何估算,支持信息可包括:
- 关于估算依据的文件(如估算时如何编制的);
- 关于全部假设条件的文件;
- 关于各种已知制约因素的文件;
- 对估算区间的说明(如“\(\pm10%\)”),以指出预期持续时间的所在区间;
- 对最终估算的置信水平说明;
- 有关影响估算的单个项目风险文件。
Question
项目持续时间估算的预期值是627天,而最可能的持续时间估算为600天,标准差为14天,下面哪一种陈述是正确的?
- A.按照95%的置信度,项目历时定位547至603天
- B.按照95%的置信度,项目历时定位613至641天
- C.按照99%的置信度,项目历时定位585至699天
- D.按照68%的置信度,项目历时定位547至603天
标准差公司而已,99%估算值 = 预期值 \(\pm3\sigma\),因此得到:
\[ 627 \pm (3 \times 15) \] - 持续时间估算:对完成某项活动、阶段或项目所需的 工作时段数 的定量评估,其中 并不包括任何滞后量,但可指出一定的 变动区间:
6.5 制定进度计划¶
定义:分析活动顺序、持续时间、资源需求和进度制约因素,创建进度模型,从而落实项目执行和监控的过程。
作用:为完成项目互动而制定具有计划日期的进度模型。本过程需要在整个项目期间开展。
制定进度计划ITTO:
-
工具“进度网络分析”
- 创建项目 进度模型 的一种综合技术:CPM,资源优化技术,建模技术;
- 进度分析:
- 当多个路径在同一时间点汇聚或分叉时,评估汇总进度储备的必要性,以减少出现进度落后的可能性。
- 审查网络,看看 关键路径 是否存在高风险活动或具有较多提前量的活动,是否需要使用进度储备或执行风险应对计划来降低 关键路径 的风险。
- 进度网络分析是一个 反复进行 的过程,一直持续到创建出可行的进度模型。
-
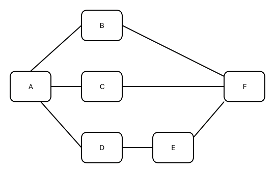
工具“关键路径法(CPM)”:
-
特征:
- 越多风险越大越大
- 最长路径决定工期的最短时间
- 不考虑资源限制
-
正推
-
TODO: 124页图
-
得出“最早开始日期(ES)”和“最早完成日期(EF)”
-
-
逆推
- TODO: 124页图
-





